N-paper N44B-1 Part 1 extension (N44C) by Herb Zinser
N44C newspaper on President Bush, President Obama, and Thomas Jefferson
Social science information flow-charts
Herb Zinser’s analysis reports
This blog post translates newspaper articles and other news events.
Newspapers use various levels of English language; thus it is up to the older and wiser newspaper reader to use his math and science background to translate and understand the multi-faceted PRINT message .

This news analysis report by Herb Zinser looks at some of the subset secret message codes embedded within the larger context of a news article
about atomic chemistry –> atom and molecule social chemistry expressions and the Carl Jung subconsciousness GROUP MIND secrets of the farmer/agriculture collective or university collective of students, professors, administrators, and electromagnetic(em …employee) life forms
with EARTH LAB identifier em ( employees), gravity field life, and molecule human life forms.

Nature is interested in the existence of integrated human beings ( that are using the calculus integration by parts … philosophical extension –> integration parts of concepts, ideas and facts to understand and explain Sartre existentialism and its applications).
Books and printed news articles may contain subset messages that are embedded within the larger context of the written text.
read between the lines – Collins Dictionaries
www.collinsdictionary.com › English DictionaryExample Sentences Including ‘read between the lines’.Nothing was spelled out, yet everything was there for those who could read between the lines. Ashford …
In this blog post …… we shall provide information strings using WORDS and subset WORDS and see their relationship to REALITY events.
Nature’s SYMBOL MACHINE is comprised of nouns, verbs, concepts, math equations, flowcharts, etc. The ideas found in BASIC math and science college textbooks are part of the SYMBOL MACHINE.
Using Galileo’s suggestions of ” 2 CHIEF WORLD SYSTEMS” we now perceive Sartre existentialism as partitioned into 2 or more data spaces……. the 2 CHIEF existential entities.
1) physical reality of objects: concrete highways, iron automobiles, cellulose trees, humanoids, atoms, molecules, gravity fields, EARTH iron core, etc.
2) The world of symbols, concepts, process control system flowcharts, biochemistry diagrams, math and physics equations, etc.
Maps and Territories – Rijnlandmodel
Language in Thought and Action, S.I. Hayakawa.Chapter 2 Symbols Maps and TerritoriesThere is a sense in which we all live in two worlds.
For example ………… Charles Dickens ” TALE of 2 Cities” ….. about two worlds on the EARTH surface.
What is the 2nd world?
A language world?
A certain view or perception of events?
Thus we have the source domain of SYMBOL LIFE and THOUGHT that may get a mathematical-physics mapping to the destination range of physical biology
with human proper nouns, human activities, etc on the geography surface of EARTH …….that is…… the EARTH surface as an information display surface
using 3-dimensional, vertical, standing humans and their behavior and daily activities.

Given the background concepts …… let’s look at some math and science information strings
… very useful empirical data about the structure of REALITY and its descriptive words ……
data for those in science.
Let’s look at an example of the SECRET codes embedded within a newspaper article about society and the atomic collective group mind.



Above, glass door as a window … all door number –> 4937 –> information pointer to
Year 1937 (Karl Henry Zinser Milwaukee) at 37.0 degrees Celsius temperature
LINK to the IBM 370 system and the bio-computer 37,0 system
Year 1943 Herbert Zinser and Salvador Dali painting on Geopolitical New Man
|
LOCATION |
9430 Research Boulevard Austin, Texas, U.S. |
The 2010 Austin code number 4937 ordered SYSTEMS attack
using the STACK COMPUTER …….
occurred on February 18, 2010, when Andrew Joseph Stack III deliberately crashed his single-engine Piper Dakota light aircraft into
Building I of the Echelon office complex in Austin, Texas, United States
Joe Stack – Z72 Science 145 – Joe Stack and the stack computer wars
▄▄▄▄▄▄▄▄▄▄▄▄▄▄▄▄▄
Below,
Joe Stack explains

the living language SYMBOL MACHINE keywords and concepts …..
X-wing –> math military functions F(x)

code words –> Stackpole –> Stack and Pole
2010 Austin …. the STACK computer attack
– Wikipedia
https://en.wikipedia.org/wiki/2010_Austin_suicide_attack
Jump to Joe Stack – The 2010 Austin suicide attack occurred on February 18, 2010, when Joe Stack III deliberately crashed his single-engine Piper Dakota light aircraft into Building I of the Echelon office complex in Austin, Texas, United States, killing himself and Internal Revenue Service manager Vernon Hunter.
Crime · Aftermath · Reaction
Joe (Job order entry) human bio-computer agent
……. Joe Stack IRS attack: ‘hero’ debate heats up
https://www.csmonitor.com/USA/2010/…/Joe-Stack-IRS-attack-hero-debate-heats-up
Feb 22, 2010 – Joe Stack, who attacked the IRS by flying his plane into its offices in Austin, Texas, is being lauded as a ‘hero’ in antigovernment circle

Building I of the Echelon office complex in Austin, Texas, United States,[5] killing himself and Internal Revenue Service manager Vernon Hunter.[6] Thirteen others were injured, two seriously. The four-story[7][8] office building housed an IRS field office occupying the top three floors, along with a couple of private businesses on the first floor.

Call stack – Wikipedia
https://en.wikipedia.org/wiki/Call_stack
In computer science, a call stack is a stack data structure that stores information about the active subroutines of a computer program. This kind of stack is also …
Description · Functions of the call stack · Structure · Use
Call stack – MDN Web Docs Glossary: Definitions of Web-related terms …
https://developer.mozilla.org/en-US/docs/Glossary/Call_stack
Oct 25, 2018 – A call stack is a mechanism for an interpreter (like the JavaScript interpreter in a web browser) to keep track of its place in a script that calls ..
Call stack
Call stack
Call Joe stack
. to create a stack computer heap

Darwin system selection using words/concepts …
Joe Stack III ( top level 3 … name STACK below)
crashed his single-engine airplane (high address)
Piper Dakota (Piper Da –> Data pipeline)
light aircraft …
with the Heap (Echelon office building) and
Code (IRS tax / taxidermists code errors)
Joseph Stack · Crime · Aftermath · Reaction

Below, Stack computer DEMO site
—>
with Joe STACK
and the HEAP of the air plane crash
with
Internal Revenue Service CODE


code words –> Stackpole
–> Stack and Pole (Pole-Americans)
EVENT
–> Stackpole code
–> Stack and Pole
(Pole-American ,,, Steven Kazmierczak)
Northern Illinois University shooting
The Northern Illinois University shooting was a school shooting
that took place on February 14, 2008,
at Northern Illinois University in DeKalb, Illinois.
Steven Kazmierczak opened fire
EVENT …..
–> Stackpole code
–> Stack and Pole
(Pole-American ….. Wojciech Braszczok)

Ex-Detective Going to Jail for Role in
Manhattan Project …….
data generating ….. signaling event –
https://www.nytimes.com/…/detective-in-manhattan-biker-assault-case-is-sentenced-to-…
Aug 5, 2015 – Wojciech Braszczok, a former New York police detective, leaving court … with the attack during a three-week bench trial before Justice Wiley.

Wojciech Braszczok
Wojciech Braszczok explains
Wo…..ech
Wo…..ech
Woolworth skyscraper building ….. echo

Woolworth Building explains levels and layers of society – Wikipedia
https://en.wikipedia.org/wiki/Woolworth_Building
The Woolworth Building, at 233 Broadway, Manhattan, New York City, designed by architect Cass Gilbert and constructed between 1910 and 1912, is an early …
FW Woolworth Building · Metropolitan Life Insurance · Lexington, Kentucky

Woolworth Building Lobby Tours New York
https://woolworthtours.com/
The land marked Woolworth Building in New York was the tallest in the world for 17 years. Building tours are available for 30, 60, or 90 minutes.
Woolworth Building Lobby
Woolworth Building Lobby
Woolworth Building marble/ stone atoms in the Lobby
collect data from human data carriers
that pass thru the lobby

Carl Jung – Collective Unconscious
https://www.carl-jung.net/collective_unconscious.html
Concept of Collective Unconscious at Jung. Jung’s concept of collective unconscious was developed at the time when he was working with schizophrenic …
Collective unconscious | psychology | Britannica.com
https://www.britannica.com/science/collective-unconscious
Collective unconscious. Collective unconscious, term introduced by psychiatrist Carl Jung to represent a form of the unconscious (that part of the mind containing memories and impulses of which the individual is not aware) common to mankind as a whole and originating in the inherited structure of the brain.
Missing: group | Must include: group
Carl Jung – The Archetypes and the Collective Unconscious – Tom …
www.butler-bowdon.com/carl-jung—the-archetypes-and-the-collective-unconscious.h…
Jung, on the other hand, saw the personal unconscious mind as sitting atop a much deeper universal layer of consciousness, the collective unconscious – the …

The Archetypes and the Collective Unconscious
The Arche types and the Collective Unconscious
The Woolworth retail store system Architecture
…….. a nationwide data collection system of
human thoughts, family activities, religion …….
that becomes a large Collective Unconscious (millions of people)
that becomes a intellectual LIFE form ….. a SYMBOL and CONCEPT machine at the
Woolworth atomic social science Building


Wardenclyffe Tower parallel Wool worth TOWER – Wikipedia
https://en.wikipedia.org/wiki/Wardenclyffe_Tower
Wardenclyffe Tower (1901–1917),
also known as the Tesla Tower, was an early experimental wireless transmission station designed and built
by Nikola Tesla in …
World Wireless System · Tesla Experimental Station · Shoreham

More than a century after its construction,
the Woolworth version of Warrenclyffe Towers ….
remains, at 792 feet (241 m),
one of the 100 tallest buildings in the United States
as well as one of the 30 tallest buildings in New York City
The Woolworth Building,
at 233 Broadway, Manhattan, New York City ….Woolworth building explanation per Nature’s agent
Wo
Wojiech(o) Braszckok
………echo ………………okay / approved by systems
END of Stack computer outline
and to application to vertical
skyscraper
… atomic THOUGHT buildings …..
as a Darwin species of life comprised
of stone/rock atoms, iron and glass
….. a vertical container that contains hundreds of humans … that are
logic cells of the building,
▄▄▄▄▄▄▄▄▄▄▄▄▄▄▄▄▄

Botany code words –>
Oak tree ….. Lawn of green cellulose grass …..
and neighbor ….
………………orchards trees of apples, pears, etc.



Next 350 – Maxwell Judge Maxwell motor cycle wojiech Tribeca BEC algorithms Nikola Tesla ..book roots … polynomila plymerase chain reaction
▄▄▄▄▄▄▄▄▄▄▄▄▄▄▄▄▄
Below,
explains key word concepts –>
Next 350 –
Maxwell equations TRIAL
Judge Maxwell Wiley EM cycles
motor cycle wojciech Nikola Teslabook roots …
polynomial equations and Mia Farrow
polymerase chain reaction


Undercover NYPD cop guilty of lesser charge in biker … – CBS News
https://www.cbsnews.com/…/undercover-nypd-cop-guilty-of-lesser-charge-in-biker-s…
Jun 9, 2015 – The undercover cop was accused of joining motorcyclists who … and nothing but the law and the evidence,”
Judge Maxwell Wiley said.
Ex-NYPD detective gets 2 years in West Side Highway biker assault …
abc7ny.com/news/former-nypd-detective-gets-2-years-in-west…biker…/904068/
Aug 5, 2015 – State Supreme Court Judge Maxwell Wiley said revenge, pure and simple, was on Braszczok’s mind when he delivered two roundhouse kicks …
2 Defendants in Manhattan Project …..
Biker Assault Await Verdict From Judge …
https://www.nytimes.com/…/2-defendants-in-biker-case-await-verdict-from-judge.html
Jun 5, 2015 – Both men have waived their right to a jury, and
Justice Maxwell Wiley of State Supreme Court in Manhattan is deciding the case. He has said …
Justice Maxwell Wiley
Justice Maxwell Wiley
Justice Maxwell

Wife of Tribeca banker beaten by bikers, new video details attack – NY Daily …
www.nydailynews.com/…/nyc…/wife-banker-beaten-bikers-recalls-attack-article-1.22…
May 19, 2015 – Wife of Tribeca banker beaten by bikers becomes emotional recalling …. facebook of bike victim Alexian Lien (right) with his wife Rosalyn Lien …
Hollywood Stuntz gang assault – Wikipedia
https://en.wikipedia.org/wiki/Hollywood_Stuntz_gang_assault
On September 29, 2013, Alexian Lien was assaulted while in his car on Henry Hudson Parkway in New York City. Lien had gotten into an altercation with motorcyclists who were participating … Lien, a then-33-year-old Chinese American banker, was heading to New Jersey with his wife, Rosalyn Ng and two-year-old …
Incident · Altercation · Reaction · Legal action
Tribeca
Tribeca
Tribeca
Tri beca
Tribe BEC algorithms

Tribeca
Tribeca
Tribeca
Tri beca
Tribe BEC



Logical units(LU) – IBM
https://www.ibm.com/support/knowledgecenter/en/SSLTBW_2.1…ibm…/lunits.htm
A logical unit is a device or application program by which an end user (an application program, a terminal user, or an input/output mechanism) gains access to a …
What is logical unit (LU) BEC? – Definition from WhatIs.com
whatis.techtarget.com › Topics › Networking › Network software
In IBM’s Systems Network Architecture ( SNA ), a logical unit (LU) identifies an end user in an SNA network . By end user, IBM means either a human bein…
Logical Unit (LU) – MSDN – Microsoft
https://msdn.microsoft.com/en-us/library/ee253217(v=bts.10).aspx
This topic is about: Logical Unit (LU) … IBM 3287-type printers and Host Integration Server 2004 Host Print service that allows you to redirect print data streams …



Nikola Tesla’s Earthquake Machine – The Excluded Middle
www.excludedmiddle.com/earthquake.htm
In the last years of the 19th century, technological alchemist Nikola Tesla may …
A vibration sent through the earth returns
an “echo signature“ using the same …



Nikola Tesla’s Earthquake signaling Machine using motorcycles
– The Excluded Middle
www.excludedmiddle.com/earthquake.htm
In the last years of the 19th century, technological alchemist Nikola Tesla may …
A vibration sent through the earth returns
an “echo signature“ using the same …

Wife of Tribeca banker beaten by bikers,
new video details attack – NY Daily …
www.nydailynews.com/…/nyc…/wife-banker-beaten-bikers-recalls-attack-article-1.22…
May 19, 2015 – Wife of Tribeca banker beaten by bikers becomes emotional recalling …. Photo from facebook of bike victim Alexian Lien (right) with his wife …
Final Biker RIGGED TRIAL Is Sentenced in Assault on SUV Driver
– The New York Times incomplete explanations of signaling events
https://www.nytimes.com/2015/…/final-biker-is-sentenced-in-assault-on-suv-driver.html
Aug 6, 2015 – The attack took place during a raucous motorcycle rally on Sept. 29, 2013. The bikers became enraged because Mr. Lien, whose sport utility …
Wife of Tribeca
Wife of Tribeca
Wife of Tribeca
Wi fe Tribeca –>
Wisconsin
Fe= Ferrous oxide iron atom 26 protons
and Highway 26, Watertown
Tribeca Gallery Café & Books | Café | Watertown, WI
https://www.tribecagallerycafe.com/
920-206-2885 – Find that book you’ve been looking for or stop by for a cup of delicious coffee while you read your book at Tribeca Gallery Café & Books.

Grave hole implies —> O

Fundamental theorem of algebra …….
……………….tal –> tallahassee
….- Wikipedia
https://en.wikipedia.org/wiki/Fundamental_theorem_of_algebra
The fundamental theorem of algebra states that every non-constant single-variable polynomial with complex coefficients has at least one complex root. This includes polynomials with real coefficients, since every real number is a complex number with an imaginary part equal to zero.
History · Proofs · Corollaries · Bounds on the zeros of a …

Roots: The Saga of an American Family: Alex Haley: 9780306824852 …
Roots: The Saga of an American Family [Alex Haley] on Amazon.com. *FREE* shipping on qualifying offers. A new eight-hour event series based on Roots will .
v
Roots: The Saga of an American Family:
Roots: The Saga of an American Family:
Roots –> Algebra Roots
Fundamental Theorem of Algebra – Math is Fun
https://www.mathsisfun.com/algebra/fundamental-theorem-algebra.html
Fundamental Theorem of Algebra. The Degree of a Polynomial with one variable is … A “root” (or “zero”) is where the polynomial is equal to zero. So, a polynomial of degree 3 will have 3 roots (places where the polynomial is equal to zero).

Fundamental Theorem of Algebra
The “Fundamental Theorem of Algebra” is not the start of algebra or anything, but it does say something interesting about polynomials:
Any polynomial of degree n has n roots
but we may need to use complex numbers



Frank Sinatra – Wikipedia
https://en.wikipedia.org/wiki/Frank_Sinatra
Francis Albert Sinatra was an American singer, actor, and producer who was one of the most popular and influential musical artists of the 20th century. He is one …
Barbara Sinatra · Nancy Sinatra · Tina Sinatra · Dolly Sinatra
Frank Sinatra
Frank Sinatra
Frank Sin –>

something interesting about polynomials:
something interesting about polynomials:
something interesting about …………mia
Mia Farrow …. bio-math agent
– Wikipedia
https://en.wikipedia.org/wiki/Mia_Farrow
María de Lourdes “Mia” Villiers Farrow (born February 9, 1945) is an American actress, activist, and former fashion model. She first gained notice for her role as …
André Previn · Maureen O’Sullivan · John Farrow · Dory Previn


Grave hole implies —> O

Fundamental theorem of algebra …….
……………….tal –> tallahassee
..- Wikipedia
https://en.wikipedia.org/wiki/Fundamental_theorem_of_algebra
The fundamental theorem of algebra states that every non-constant single-variable polynomial with complex coefficients has at least one complex root. This includes polynomials with real coefficients, since every real number is a complex number with an imaginary part equal to zero.

Polynomial – Wikipedia
https://en.wikipedia.org/wiki/Polynomial
In mathematics, a polynomial is an expression consisting of variables (or indeterminates) and coefficients, that involves only the operations of addition, subtraction, multiplication, and non-negative integer exponents of variables. An example of a polynomial of a single indeterminate x is x2 − 4x + 7.
Polynomial roots · Polynomial ring · Degree of a polynomial · Binomial (polynomial)
Polynomial –
Polynomial –
Poly
Polymerase chain reaction – Wikipedia
https://en.wikipedia.org/wiki/Polymerase_chain_reaction
Polymerase chain reaction (PCR) is a technique used in molecular biology to amplify a single copy or a few copies of a segment of DNA across several orders of …
Taq polymerase · PCR optimization · Reverse transcription · Kary Mullis

Polynomial –
Polynomial –
Poly
Polygamy – The Salt Lake Tribune
www.sltrib.com/pb/news/polygamy/
After almost being locked out, Utah polygamous sect strikes deal with land trust to keep its … Crime spree tests a more secular Hildale and Colorado City.
Polygamous families protest bigamy law at Utah Capitol | Fox News
END of explanation
▄▄▄▄▄▄▄▄▄▄▄▄▄▄▄▄▄







Science 297 – Bush differential amplier
▄▄▄▄▄▄▄▄▄▄▄▄▄▄▄▄▄
Below
President Bush explains


Bush’s Differential Analyzer – MIT
www.mit.edu/~klund/analyzer/
May 17, 2005 – Vannevar Bush’s Differential Analyzer. Mechanical … (LEFT) Original Nieman torque amplifier on display at the MIT Museum. This torque …
Bush Differential Analyzers – Engineering and Technology History Wiki
ethw.org/Differential_Analyzers
Jan 9, 2015 – The creation of the differential analyzer in the first half of the 20th century was a breakthrough …. Figure 4: Bush’s torque amplifier mechanism.
Bush Differential analyser in humanoid FORMAT
at the White House explained by
algorithms Vice-president Al Gore – Wikipedia
https://en.wikipedia.org/wiki/Differential_analyser
The differential analyser is a mechanical analogue computer designed to solve differential … In the same year, Bush described this machine in a journal article as a “continuous integraph”. …. Hazen recognized that a “torque amplifier“, which had been invented in 1925 by Henry W. Nieman and which was intended to allow …



George Herbert Walker Bush
is an American politician who served as the 41st President of the United States from 1989 to 1993.
Prior to assuming the presidency,
Bush served as the 43rd Vice President of the United States from 1981 to 1989.

Bush served as the 43rd Vice President
Bush served as the 43rd Vice President
Bush served as the 43rd Vice President ……. for Sartre existential physics codes of the
United States

United States ……. of
* earth geography states of land …… and

Linear State-Space Control Systems: Robert L. Williams II, Douglas A …
https://www.amazon.com/Linear-State-Space-Control-Systems-Williams/…/04717355…
Master the theory and practice of linear state-space control systems design. With a strong emphasis on practical aspects, here is a comprehensive introduction to …
State observer – Wikipedia
https://en.wikipedia.org/wiki/State_observer
State observer. In control theory, a state observer is a system that provides an estimate of the internal state of a given real system, from measurements of the input and output of the real system. It is typically computer-implemented, and provides the basis of many practical applications.
Typical observer model · State observers for … · Sliding mode observer
[PDF]State Observers and State Feedback – MIT OpenCourseWare
https://ocw.mit.edu/courses/electrical…control…/MIT6_011S10_chap06.pdf
feedback control to stabilize or otherwise improve the behavior of the resulting … asymptotic state estimate provided by an observer turns out to suffice.


Messenger RNA – Wikipedia
https://en.wikipedia.org/wiki/Messenger_RNA
Messenger RNA (mRNA) is a large family of RNA molecules that convey genetic information from DNA to the ribosome, where they specify the amino acid sequence of the protein products of gene expression. RNA polymerase transcribes primary transcript mRNA (known as pre-mRNA) into processed, mature mRNA.
Synthesis, processing and … · Eukaryotic pre-mRNA … · Structure · Degradation
mRNA / messenger RNA | Learn Science at Scitable – Nature
https://www.nature.com/scitable/definition/mrna-messenger-rna-160
Messenger RNA (mRNA) is a subtype of RNA. An mRNA molecule carries a portion of the DNA code to other parts of the cell for processing. mRNA is created during transcription. During the transcription process, a single strand of DNA is decoded by RNA polymerase, and mRNA is synthesized.
End of BUSH explanation
▄▄▄▄▄▄▄▄▄▄▄▄▄▄▄▄▄

Event 69 – John Galt, Zinjan, Jawaharial Nehru, wedding ring plus tail of retail store equals ring-tailed monkey
▄▄▄▄▄▄▄▄▄▄▄▄▄▄▄▄▄
Below,
explains key word concepts –>
John Galt,
Zinjan,
Jawaharial Nehru,
wedding ring plus
tail of retail store equals
female ring-tailed monkey

Germanwings crash: What happened in the final 30 minutes – BBC News
www.bbc.com/news/world-europe-32072218
Questions remain about Germanwings crash. Germanwings flight 4U 9525
took off from Barcelona Airport
in Spain heading for Duesseldorf, Germany, with 150 …
Barcelona
Barcelona
Barcelona
Bar celona
Bar cell ona

Who Is John Galt? – Forbes
https://www.forbes.com/sites/robclarfeld/2012/02/15/who-is-john-galt/
Feb 15, 2012 – John Galt is the fictional hero of “Atlas Shrugged,” Ayn Rand’s epic novel published in 1957. I first read Atlas Shrugged in high school, and have

Atlas Shrugged – Wikipedia
https://en.wikipedia.org/wiki/Atlas_Shrugged
Atlas Shrugged is a 1957 novel by Ayn Rand. Rand’s fourth and last novel, it was also her longest, and the one she considered to be her magnum opus in the realm of fiction writing.[1] Atlas Shrugged includes elements of science fiction, mystery, and romance, and it contains Rand’s most extensive statement of Objectivism in any of her works of fiction.
The book depicts a dystopianUnited States in which private businesses suffer under increasingly burdensome laws and regulations. Railroad executive Dagny Taggart and her lover, steel magnate Hank Rearden, struggle against “looters” who want to exploit their productivity, including Dagny’s brother and Hank’s wife. As Dagny and Hank fight the looters’ efforts to control their business operations and confiscate their production, they realize a mysterious figure called John Galt is convincing other business leaders to abandon their companies and disappear. While investigating a strange electric motor found in a ruined factory, Dagny finds sheltered valley where Galt and the missing businessmen have been hiding. Galt is leading a “strike” of productive individuals against the looters. The strike escalates when Galt announces his views in a radio address, leading to a collapse of the government. The novel ends with the strikers planning to build a new capitalist society based on Galt’s philosophy of reason and individualism.
The theme of Atlas Shrugged, as Rand described it, is “the role of man’s mind in existence”. The book explores a number of philosophical themes from which Rand would subsequently develop Objectivism.[2][3] In doing so, it expresses the advocacy of reason, individualism, and capitalism, and depicts what Rand saw to be the failures of governmental coercion.
John Galt – Cliffs Notes
https://www.cliffsnotes.com/literature/a/atlas-shrugged/character-analysis/john-galt
Character Analysis John Galt. Galt is the hero and main character of Atlas Shrugged, because his principles drive the action and the conflict of the story.
John Galt
John Galt
John Galt
…. hn –> amino acid SOFTWARE code

John Galt
John Galt
John Galt
…. hn Galt –> Galtaji amino acid SOFTWARE code
Galtaji – Wikipedia
https://en.wikipedia.org/wiki/Galtaji
Jump to Monkeys – The temple complex of Ramgopalji temple is colloquially known as Monkey temple (Galwar Bagh) in travel literature, due to the large …

Monkey Temple (Galta Ji), Jaipur – TripAdvisor
https://www.tripadvisor.com › … › Jaipur District › Jaipur › Things to Do in Jaipur
Rating: 4 – 1,439 reviews
Book your tickets online for Monkey Temple (Galta Ji), Jaipur: See 1439 reviews, articles, and 1271 photos of Monkey Temple (Galta Ji), ranked No.21 on …
The secret road to the Monkey Temple in Jaipur – Act of Traveling
www.actoftraveling.com › Destinations › Asia › India
Apr 22, 2013 – One of the top places to visit in Jaipur is Galta Ji, also known as the Monkey Temple. It’s situated in a valley and can easily be reached by car.



Monkey Trial begins – Jul 10, 1925 – HISTORY.com
www.history.com/this-day-in-history/monkey-trial-begins
In Dayton, Tennessee, the so-called “Monkey Trial” begins with John Thomas Scopes, a young high school science teacher, accused of teaching evolution in …
Scopes “Monkey” – Famous Trials
www.famous-trials.com/scopesmonkey
The guilt or innocence of John Scopes, and even the constitutionality of Tennessee’s anti-evolution statute, mattered little. The meaning of the trial emerged …
John T. Scopes Trial – Wikipedia
https://en.wikipedia.org/wiki/Scopes_Trial
The Scopes Trial, formally known as The State of Tennessee v. John Thomas Scopes and … The men then summoned 24-year-old John T. Scopes, a Dayton high school science and math teacher. The group asked Scopes to admit to teaching …
Court: Criminal Court of Tennessee
Subsequent action(s): Scopes v. State (1926)
Judge(s) sitting: John T. Raulston
Decided: July 21, 1925
John T. Scopes Trial
John T. Scopes Trial
TeleScopes Trial

John T. Scopes Trial
John T. Scopes Trial
hn (amino acid) TeleScopes Trial



Jawa | Wookieepedia Jaw and chin code
| FANDOM powered by Wikia
starwars.wikia.com/wiki/Jawa
The original Star Wars novelization implies a possible familial relationship between Jawas and Tusken Raiders. It also describes Jawas as rodent-like and …
7 Things You Might Not Know About Jawas | StarWars.com
www.starwars.com/…/much-to-learn-you-still-have-7-things-you-might-not-know-ab…
Dec 20, 2016 – Take a closer look at Tatooine’s tiniest scrap-seekers with StarWars.com’s behind-the-scenes look at Jawas!
Jawa | StarWars.com
www.starwars.com/databank/jawa
Jawas are meter-tall humanoids completely hidden behind rough, hand-woven robes. Their faces are concealed within the dark folds of a cowl, from which peer their sickly glowing yellow eyes. … After C-3PO and R2-D2 landed on Tatooine, Jawas picked up the two droids, fitting them with ..

Jawa | StarWars.com
Jawa | StarWars.com
Jawa | StarWars in the sub-continent of India

Jawa Nehru
Jawa Nehru
Jawa Nehru
https://en.wikipedia.org/wiki/Jawaharlal_Nehru
Jawaharlal Nehru was the first Prime Minister of India and a central figure in Indian politics before and after independence. He emerged as the paramount leader …
Motilal Nehru · Kamala Nehru · Jawaharlal Nehru Port · The Discovery of India
BBC – History – Historic Figures: Jawaharlal Nehru (1889-1964)
www.bbc.co.uk/history/historic_figures/nehru_jawaharlal.shtml
Jawaharlal Nehru was born in Allahabad, the son of a lawyer whose family was … In 1919, Nehru joined the
Indian National Congress which was fighting for …

Jawa Hierarchical agent
Jawa..h …..ar………l
Jawaharlal Nehru – Activist, Prime Minister – Biography.com
https://www.biography.com/people/jawaharlal-nehru-9421253
Apr 27, 2017 – Jawaharlal Nehru, Indira Gandhi’s father, was a leader of India’s nationalist movement and became India’s first prime minister after its independence. … In 1919, he joined the Indian National Congress and joined Indian Nationalist leader Mahatma Gandhi’s independence …
Birth Date: November 14, 1889
Education: Trinity College

Ring-tailed monkey/ lemur – Wikipedia
https://en.wikipedia.org/wiki/Ring-tailed_lemur
The ring–tailed lemur (Lemur catta) is a large strepsirrhine primate and the most recognized lemur due to its long, black and white ringed tail. It belongs to Lemuridae, one of five lemur families, and is the only member of the Lemur genus. Like all lemurs it is endemic to the island of Madagascar.
Evolutionary history · Anatomy and physiology · Ecology · Behavior
Ring-Tailed Lemur | National Geographic
https://www.nationalgeographic.com/animals/mammals/r/ring-tailed-lemur/
Ring–tailed lemurs are unmistakable because of their long, vividly striped, black-and-white tail. They are familiar residents of many zoos. Life on the Ground. Lemurs use their hands and feet to move nimbly through the trees, but cannot grip with their tails as some of their primate cousins do.
Ring-tailed monkey/
Ring-tailed monkey/
Ring-tailed monkey …. evolution of THOUGHTS and influence on human behavior
Ring-tailed monkey/
Ring-tailed monkey/
Ring
Ring
Ring

Ring-tailed monkey ….. business equations /
Ring-tailed monkey/
Ring-tailed monkey/
Ring-tailed monkey/
R…… tail mon key/
Retail (store) money keys

Stop with the retail apocalypse: Mall, shopping center … – CNBC.com
https://www.cnbc.com/…/mall-shopping-center-landlords-are-tired-of-industry-chatter…
Aug 7, 2017 – Retail real estate investment trust CEOs have watched many of their stocks fall in recent months, with headlines about the death of malls and …
Retail Shopping mall – Wikipedia
https://en.wikipedia.org/wiki/Shopping_mall
In North America, Gulf countries, and India, the term shopping mall is usually applied to enclosed retail structures (and is generally abbreviated to simply mall), while shopping centre usually refers to open-air retail complexes; both types of facilities usually have large parking lots, face major traffic arterials, …
Regional differences · Development of shopping … · Types · New trends
END of explanation
▄▄▄▄▄▄▄▄▄▄▄▄▄▄▄▄▄

Peter Lynch – Wikipedia
https://en.wikipedia.org/wiki/Peter_Lynch
Jump to Investment philosophy – One Up lays out Lynch’s investment technique including … ranging from equity funds such as Fidelity Investments Fidelity …
Known for: Managing the Magellan Fund
Born: January 19, 1944 (age 75); Newton, Mas…
Occupation: Investor, mutual fund manager, ph…
Alma mater: Boston College (BA); The Wharton …
Early life and education · Investment career · Wealth and philanthropy
Fidelity Magellan Fund – Wikipedia
https://en.wikipedia.org/wiki/Fidelity_Magellan_Fund
The Fidelity Magellan Fund (Mutual fund: FMAGX) is a US-domiciled mutual fund from the … The $20 million fund Peter Lynch inherited grew to $14 billion in AUM during his tenure. During Morris Smith’s tenure, AUM grew from $14 billion to …



code word BAL –> Baltimore computer science BATTLE region
IBM Basic assembly language(BAL) and successor –> BALTIMORE
– Wikipedia
https://en.wikipedia.org/wiki/IBM_Basic_assembly_language_and_successors
Basic Assembly Language (BAL) is the commonly used term for a low-level programming language used on IBM System/360 and successor mainframes.
General characteristics · Types of instructions · Examples · Versions
codes –> Jan 8 about two –> pointer to Jan 8 2 –> Jan 8, 1942


Jan. 8, 1942: Birthday of a First-Rate Mind, and a Medical Marvel – Wired
https://www.wired.com/…/jan-8-1942-birthday-of-a-first-rate-mind-and-a-medical-ma…
Jan 8, 2010 – 1942: British physicist Stephen Hawking is born.
Hawking was born in the oxygen atomic Ox region of Oxford,
where his parents moved to escape the German Blitz on London.

Hawking was born in the Oxygen atomic ,,,,
Ox region of Oxford and Nature’s y-axis extension …………..this the
Oxygen word equation ……….. algebra/ plane geometry code–>
O x y –> Origin and the (x.y) axis / coordinates of Sartre existential ….. with
oxygen atomic mass Base 16 and its IBM base 16 addressability of
INTERNAL oxygen existential space and
EXTERNAL atmosphere oxygen space

Jan. 8, 1942: Birthday of a First-Rate Mind, and a Medical Marvel – Wired
https://www.wired.com/2008/01/dayintech-0108/
Jan 8, 2008 – Stephen Hawking (center) experiences the thrill of zero gravity on a flight aboard a modified Boeing 727 aircraft, owned by Zero Gravity. Image: …
STEPHEN HAWKING JANUARY 8, 1942 – MARCH 14, 2018 | Vegas …
www.vegasvalleynews.com/…/stephen-hawking-january-8-1942-march-14-2018/
Mar 14, 2018 – Renowned physicist Stephen Hawking, it has just been announced on the newswire died Wednesday due to the progressive complications of amyotrophic lateral sclerosis, He was 76 years old.
Born on Jan. 8, 1942 in war-torn Oxford, England, to Frank, and Isobel Hawking on the 300th anniversary of the death of Galileo.
Born on Jan. 8, 1942 in war-torn Oxford, England,
Born on Jan. 8, 1942 in war-torn Oxford, England,
Born on Jan. 8, 1942 in war-torn OE –> COMPUTER EARTH Order Entry region
of OE = Old English ….. he decided to up-grade to Modern English …..
with his heritage Base 16 Hex’F’ = 15 = F agents Frank and his
IS = Information systems COBOL language mother

Book/ newspaper publishers print some pieces to a puzzle ……
and the reader’s optical nerve SOFTWARE database is asked
to figure out the other pieces …… the pieces that explain WHY …. that explain CAUSE and EFFECT.
Herb Zinser provides some data about Nature’s SYMBOL MACHINE comprised of nouns, verbs, concepts, math equations, flowcharts, etc. The ideas found in math and basic science high school and college textbooks are part of the SYMBOL MACHINE.
Using Galileo’s suggestion of ” 2 CHIEF WORLD SYSTEMS”
we now perceive Sartre existentialism as partitioned into 2 or more data spaces……. the 2 CHIEF existential entities.
1) physical reality of objects: concrete highways,
iron automobiles, cellulose trees, humanoids, etc.
2) The world of symbols, concepts,
process control system flowcharts,
biochemistry diagrams, math and physics equations, etc.
Language in Thought and Action, S.I. Hayakawa.
Maps and Territories – Rijnlandmodel
Chapter 2
Symbols Maps and Territories
There is a sense in which we all live in two worlds.
Thus we have
the source domain of SYMBOL LIFE and thought
that may get mapped to
the destination range of physical reality and biology ….
with human social and economic activities
on the geography surface of EARTH.
Let’s look at some books /news articles and TRANSLATE
the embedded subset codes and concepts.

Code letters –> D ira q–> q subset graphic letter –> c … giving
Dirac equation of Planet EARTH soil /land
—>
Dir + ac –> dirt acres
–> dirt (atomic directory of soil –> s-orbitals platform upon which human legs walk upon)


▄▄▄▄▄▄▄▄▄▄▄▄▄▄▄▄▄
Below,
explains key word concepts –>
BooK-205 … – Z47 – Herb Zinser’s string theory …. empirical DATABASE
zinoproject47.blogspot.com/2017/08/book-205-contact-by-carl-sagan-secret.html
Aug 31, 2017 – Book-205 analysis by Herb Zinser translates books and their possible … List of topics covered in this blog post ….
Bode Plots, Nyquist plots, etc
COMPUTER EARTH IP address (internet protocol)
…below
–> per Village of Iping as explained by
H G Wells book from year 1897
–> word Iput
–> I put –> IBM put assembler instruction
![]()

above code –> Iput pyramid –> Iput–> Computer Earth systems INPUT




Paul Dirac burial complex in Tallahassee
– Wikipedia
https://en.wikipedia.org/wiki/Paul_Dirac
Paul Adrien Maurice Dirac OM FRS was an English theoretical physicist who made ….. In 1984, Dirac died in Tallahassee, Florida, and was buried at Tallahassee’s Roselawn Cemetery. Dirac’s childhood home in Bristol is commemorated with a …
Dirac equation · Ralph H. Fowler · Eugene Wigner · List of things named after Paul


The Paul Dirac grave hole ….. known as a wormhole ….. his atomic DATA BASE coffin


Th atoms of the Paul Dirac are placed ina DATABASE container. ..coffin





The Father of Modern Physics taught in Tallahassee at FSU. Paul Dirac …
activerain.com › Blogs › Fred Griffin › Tallahassee Florida Real Estate
Sep 25, 2011 – A senior FSU Physicist said, ‘To have Paul Dirac here, would be like the English faculty recruiting Shakespeare.’ In 1971, Physicist Paul Adrien …
The Father of Modern Physics taught in Tallahassee at FSU.
The Father of Modern Physics taught in Tallahassee at FSU.
The Father of Modern Physics in a geological layer/level .. …
underground …
the CLAY area with code ….
Clay –> Coffin layer … of atomic data containers ……
thus the geological layers …..and their.
……………… logic … layers ….
taught in Tallahassee at FSU … and now his coffin DATA
teaches ……allah …… the Allah a tomic communication continuum …
know as Islamic
………………. amic –> atomic social sciences and philosophy
![]()



Control Systems/Bode Plots – Wikibooks, open books for an open …
https://en.wikibooks.org/wiki/Control_Systems/Bode_Plots
Bode Plots are generally used with the Fourier Transform of a given system. An example of a Bode magnitude and phase plot set. The Magnitude plot is typically on the top, and the Phase plot is typically on the bottom of the set. The frequency of the bode plots are plotted against a logarithmic frequency axis.
Bode Plots – Bode Gain Plots – Bode Phase Plots – Bode Procedure
Cemetery Lots or Plots
Cemetery Lots or Plots
Cemetery Lots or Plots
Cemetery Lots or Bode Plot s
Cemetery Lots or Bode Plots for Sale and Grave Sites with Burial Spaces …
thecemeteryregistry.com/cemetery_plots_for_sale_buyers_exchange.php?…Tallahassee…Roselawn%20Cemetery
Mar 31, 2013 …Cemetery Lots or Plots for Sale and Grave Sites with Burial Spaces for sale Buy and Sell Exchange at Roselawn Cemetery in Tallahassee, …
![]()
Control Systems Nyquist Plots – TutorialsPoint
Control Systems – Nyquist Plots. Nyquist plots are the continuation of polar plots for finding the stability of the closed loop control systems by varying ω from −∞ to ∞. That means, Nyquist plots are used to draw the complete frequency response of the open loop transfer function.

Determining Stability using the Nyquist Plot – Swarthmore College
Example: Nyquist path, no poles on jω axis, stable. Consider a system with plant G(s), and unity gain feedback (H(s)=1). If we map this function from “s” to “L(s)” …
Cemetery Lots or Plots
Cemetery Lots or Plots
Cemetery Lots or Plots
Cemetery Lots or Nyquist Plots
![]()
]
Polar Plot
eedofdit.weebly.com/uploads/7/3/2/…/notes_tee602_polar_plot.pptx
The polar plot of sinusoidal transfer function G(jω) is a plot of the magnitude of G( jω) verses …. Automatic Control system By S. Hasan Saeed; Katson publication.
Cemetery Lots or Plots
Cemetery Lots or Plots
Cemetery Lots or Polar Plots … of sinusoidal transfer function G(jω)
of Paul Dira atomic DATABASE coffin …..
data transfers
sinusoidal transfer function G(jω)
sinusoidal transfer function G(jω)
sinusoidal transfer function G(jawa)
Jawaharlal Nehru – Activist, Prime Minister – Biography.com
https://www.biography.com/people/jawaharlal–nehru-9421253
Apr 27, 2017 …Jawaharlal Nehru, Indira Gandhi’s father, was a leader of India’s nationalist movement and became India’s first prime minister after its independence. … Jawaharlal Nehru was born on November 14, 1889, in Allahabad, India. … The British withdrew and Nehru became independent …
Jawa | Wookieepedia | FANDOM powered by Wikia
starwars.wikia.com/wiki/Jawa
The original Star Wars novelization implies a possible familial relationship between Jawas and Tusken Raiders. It also describes Jawas as rodent-like and …
Jawa | Wookieepedia – Dathcha – Sandcrawler – Jawaese
7 Things You Might Not Know About Jawas | StarWars.com
www.starwars.com/…/much-to-learn-you-still-have-7-things-you-might-not-know-about-jawas
Dec 20, 2016 … Take a closer look at Tatooine’s tiniest scrap-seekers with StarWars.com’s behind -the-scenes look at Jawas!
Jawa | StarWars.com
www.starwars.com/databank/jawa
Jawas are meter-tall humanoids completely hidden behind rough, hand-woven robes. Their faces are concealed within the dark folds of a cowl, from which peer …
Jawa
Jawa
Jawa
Jawa code of the Indian government
Jawa
Jawa
Jawaharlal Nehru | prime minister of India | Britannica.com
https://www.britannica.com/biography/Jawaharlal–Nehru
Jawaharlal Nehru: First prime minister of independent India (1947–64), who established parliamentary government and became noted for his neutralist …
Jawa
Jawa
Jawa .. STAR WARS codes of the sub-continent of India

Government Jawaharlal Nehru: First prime minister of independent India (1947–64), who established parliamentary government and became noted for his neutralist …
Government Jawaharlal
Government Jawa
G (jw) –> equations below

![]()
Pole–zero plot – Wikipedia
https://en.wikipedia.org/wiki/Pole–zero_plot
In mathematics, signal processing and control theory, a pole–zero plot is a graphical … By convention, the poles of the system are indicated in the plot by an X while the zeroes are indicated by a circle or O. A pole-zero plot can represent either …
Continuous-time systems – Example – Discrete-time systems
[PDF]
Transfer Functions, Poles and Zeros – Maplesoft
https://www.maplesoft.com/…/Transfer%20Functions,%20Poles%20and%20Zeros.pdf
For the design of a control system, it is important to understand how the … to the concept of Transfer functions and the poles and zeros of a system. …. The following plot shows the transient response of a system with a real zero and a pair of.
![]()
code word .. sinster–> sin wave functions and the Nikola Tesla earth geology vibration of the coffin layers

Manmohan Sin wave /brain wave agent –> Singh – Wikipedia
https://en.wikipedia.org/wiki/Manmohan_Singh
Manmohan Singh is an Indian economist and politician who served as the Prime Minister of India from 2004 to 2014. The first Sikh in office, Singh was also the …
Political party: Indian National Congress
President: A. P. J. Abdul Kalam; Pratibha Patil; …
Awards: Padma Vibushan; Adam Smith Prize
Residence: 3 Motilal Nehru Marg, New Delhi
Dr Manmohan Singh … · Upinder Singh · First Manmohan Singh ministry · Gah


Code words –> Userkae –> user ka e –>.
Karl Henry Zinser earth with
Milwaukee Usinger goose liver sausage purchased
by his mother META in the years around 1953

END of explanation
▄▄▄▄▄▄▄▄▄▄▄▄▄▄▄▄▄


Waiting for Godot – Wikipedia
https://en.wikipedia.org/wiki/Waiting_for_Godot
Tragicomedy (play) Waiting for Godot (/ˈɡɒdoʊ/ GOD-oh) is a play by Samuel Beckett, in which two characters, Vladimir (Didi) and Estragon (Gogo), wait for the arrival of someone named Godot who never arrives, and while waiting they engage in a variety of discussions and encounter three other characters.
Place premiered: Théâtre de Babylone, Paris
Original language: French
Characters: Vladimir; Estragon; Pozzo; Lucky; A Boy
Written by: Samuel Beckett
Vladimir · Lucky · Pozzo · Estragon
Waiting for Godot
Waiting for Godot
Waiting for … dot –>


Waiting for Godot
Waiting for Godot
Waiting for … dot –>
Dot matrix printers – Wikipedia
https://en.wikipedia.org/wiki/Dot_matrix_printing
Dot matrix printing is a type of computer printing which uses a print head that moves back-and-forth, or in an up-and-down motion, on the page and prints by impact, striking an ink-soaked cloth ribbon against the paper, much like the print mechanism on a typewriter.
Dot matrix printing: 1925
Printing press: c. 1440
Screen printing: 1911
Rotary press: 1843
Overview · Design · Early history · Advantages and …

Bio-math baby equation
–> ba + by –> base 2 legs of a baby are raised
up into the air to the power of y at a hospital …..
by a bio-math doctor ……
…thus bio + logarithm y –> Bio + log y —>
biology math equation …
required laws of recognition for Sartre existence

Base 10 decimal below



Below, female bio-computer using BAL

What is verbal oral communication?
Aural refers to the ear or hearing, and oral to the mouth or speaking. Something verbal is expressed in words, either spoken or written. … If it’s related to something spoken or to the mouth, it’s oral. And although verbal can mean spoken or written, oral can only mean spoken.
aural vs. oral vs. verbal : Choose Your Words : Vocabulary.com
https://www.vocabulary.com/articles/chooseyourwords/aural-oral-verbal/



above
Flamingo –> amin –> amino acids message site ….
amino VS amigo gonads life

Electron shell – Simple English Wikipedia, the free encyclopedia
https://simple.wikipedia.org/wiki/Electron_shell
An electron shell is the outside part of an atom around the atomic nucleus. It is where the electrons are, and is a group of atomic orbitals with the same value of the principal quantum number n. Electron shells have one or more electron subshells, or sublevels.



Nikola Tesla Built a Giant Tower to Send Wireless Electricity Around …
https://www.atlasobscura.com/articles/what-is-wardenclyffe-tower-nikola-tesla
Sep 18, 2018 – Construction began in 1901 in Long Island on what would become known as Wardenclyffe Tower. Tesla imagined that it would be the ..


The Two Cultures – Wikipedia
The Two Cultures is the first part of an influential 1959 Rede Lecture by British scientist and novelist C. P. Snow.[1][2] Its thesis was that “the intellectual life of the whole of western society” was split into two cultures – the sciences and the humanities – which was a major hindrance to solving the world’s problems.
The Two Cultures and the Scientific Revolution (1959) was a published version of the lectures in book form.


Z-transform – Wikipedia
https://en.wikipedia.org/wiki/Z-transform
In mathematics and signal processing, the Z–transform converts a discrete-time signal, which is a sequence of real or complex numbers, into a complex …
Advanced z-transform · Laplace transform · Time-scale calculus
Introduction to the z-transform
mathfaculty.fullerton.edu/mathews/c2003/ZTransformIntroMod.html
The role played by the z–transform in the solution of difference equations corresponds to that played by the Laplace transforms in the solution of differential …
The Z Transform
https://lpsa.swarthmore.edu/ZXform/FwdZXform/FwdZXform.html
The Z Transform. Discrete Data. What is a discrete-time system and why do we care about it? Until now we have assumed that time is continuous. In other words …
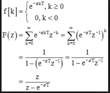
The Exponential Function
Consider the exponential function with Farmer Karl Zinser: –> F K Z



abun.dant
Dante Alighieri | Biography & Facts | Britannica.com
https://www.britannica.com/biography/Dante-Alighieri
May 31, 2019 – Dante, in full Dante Alighieri, (born c. May 21–June 20, 1265, Florence, Italy—died September 13/14, 1321, Ravenna), Italian poet, prose writer, literary theorist, moral philosopher, and political thinker. He is best known for the monumental epic poem La commedia, later named La divina commedia (The Divine Comedy).
Comandante | Definition of Commander Dante (brain sub-conscious)
by Merriam-Webster
https://www.merriam-webster.com/dictionary/comandante
Comandante definition is – commandant. … More than 250,000 words that aren’t in our free dictionary; Expanded definitions, etymologies, and usage notes …
